Dr. Canberk Mirza'dan açıklama
Ortopedi ve Travmatoloji Uzmanı Dr. Canberk Mirza, Rektörlükçe yapılan Basın açıklamasına cevap hakkını kullandı.
KAMUOYUNA SAYGIYLA DUYURULUR…
Ben Dr. Canberk Mirza, Ortopedi ve Travmatoloji Uzmanıyım.
Hiçbir siyasi partiyle bağım bulunmamaktadır ve aktif siyasette hiçbir zaman yer almadım. Bugüne kadar da, istemeden dâhil edildiğim bu süreç hakkında kamuoyuna yönelik herhangi bir açıklama yapmamayı özellikle tercih ettim.
Ancak Bandırma Onyedi Eylül Üniversitesi Rektörlüğü tarafından yapılan ve gerçeği yansıtmayan bazı açıklamalar nedeniyle, yalnızca kamuoyunu doğru bilgilendirmek ve hakkımdaki yanlış algıyı düzeltmek amacıyla bu duyuruyu yapma gereği doğmuştur.
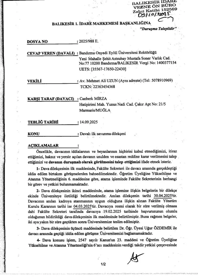
Kasım 2024’te Bandırma Onyedi Eylül Üniversitesi Tıp Fakültesi’nde ilan edilen Dr. Öğretim Üyesi kadrosuna, ilanda belirtilen tüm şartları sağlayarak başvurdum ve liyakat esasına göre yerleştirildim. 19.02.2025 tarihinde kadroya yerleştiğim ve yönetim kurulu kararı sonrası kesinleşeceği, tarafıma Tıp Fakültesi Dekanlığı aracılığıyla sözlü olarak bildirilmiştir. 04.03.2025 tarihinde Yönetim kurulu kararının kesinleştiği bildirilmiştir. Bu bildirimin ardından, tarafıma yazılı bir tebligat gönderileceği ifade edilmiştir.
Buna rağmen, uzun süre tarafıma herhangi bir yazılı tebligat yapılmamıştır. Buna rağmen, iyi niyetli davranarak ve kurumu zor durumda bırakmamak adına, 30.04.2025 tarihinde atama için gerekli tüm belgeleri kendi inisiyatifimle üniversiteye gönderdim ve en kısa sürede göreve başlayabileceğimi belirttim. Kadromun kesinleştirildiği yönetim kurulu tarihi ile arasında 2 aydan az bir süre olduğunu belirtmek isterim. Bu tarihlerin hepsi Bandırma Onyedi eylül Üniversitesinin Balıkesir İdare Mahkemesine yaptığı itirazda kendi beyanları olarak resmi belgelerde mevcuttur.
Bandırma Onyedi Eylül Üniversitesi Rektörlüğü’nün 02.05.2025 tarihli yazısı tarafıma tebliğ edilmiş; söz konusu yazıda, atamanın “belgelerin süresinde sunulmadığı” ve “kadroya artık ihtiyaç bulunmadığı” gerekçeleriyle yapılmadığı bildirilmiştir.
Bu işleme karşı açtığım davada, idare mahkemesi yürütmenin durdurulmasına karar vermiştir. Mahkeme; tarafıma usulüne uygun bir tebligat yapılmadığını, bu nedenle belge sunma konusunda gecikmeden söz edilemeyeceğini ve ileri sürülen diğer gerekçelerin de hukuken geçerli olmadığını açıkça tespit etmiştir. Üniversitenin bu karara yaptığı itiraz da üst mahkeme tarafından reddedilmiştir.
Buna rağmen, kamuoyuna yapılan bazı açıklamalarda, altı ay boyunca göreve başlamadığım ve bu durumun benim tercihim olduğu yönünde ifadeler kullanılmıştır.
Oysa kadroya yerleştiğim yönetim kurulu toplantısının tarihi ile iptal yazısının tebliği arasında iki aydan az bir süre bulunmaktadır. Ayrıca, üniversite dışından yapılacak bir öğretim üyesi atamasının, Sağlık Bakanlığı onay süreci nedeniyle fiilen birkaç ay sürmesi olağan bir durumdur. Bu nedenle, belirtilen iddiaların zamanlama ve süreç açısından gerçeği yansıtmadığı açıktır.
Bu süreçte benim için esas belirleyici olan husus; hukuken haklı bulunmama rağmen, göreve başlamam hâlinde mesleki faaliyetlerimi fiilen sürdüremeyeceğimin ve bu durumun tarafıma açıkça ifade edilmiş olmasıdır. Bu şartlar altında, mevcut mesleki ve insani düzenimi bozarak göreve başlamamam, tamamen kişisel ve mesleki bir değerlendirme sonucu alınmış bir karardır.
Hakkımda kullanılan ve kişisel itibarımı zedeleyen nitelikteki bazı ifadelerin, yaşanan hukuki süreç ve mahkeme kararları karşısında adil ve hakkaniyetli bir değerlendirme olmadığı kanaatindeyim. Amacım herhangi bir tartışmanın tarafı olmak değil; yalnızca gerçeğin bilinmesini sağlamak ve kişisel onurumu korumaktır.
Ben bir hekimim ve ciddi bir bilim insanıyım. Yanlış beyanlara dayanarak tarafıma “şımarık” denmesini asla kabul etmiyorum.
Bundan sonraki süreçte konu hakkında polemik yaratacak herhangi bir açıklama yapmayacağımı, ancak şahsıma yönelik gerçeğe aykırı ve itibarımı zedeleyici yeni ithamlar olması hâlinde, yasal haklarımı kullanmaktan da çekinmeyeceğimi kamuoyuna saygıyla bildiririm.
Saygılarımla,
Dr. Canberk Mirza
Ortopedi ve Travmatoloji Uzmanı




- Pazar 9.3 ° / 6.7 ° Bölgesel düzensiz yağmur yağışlı
- Pazartesi 10.2 ° / 7.4 ° Bölgesel düzensiz yağmur yağışlı
- Salı 9.1 ° / 7.8 ° Bölgesel düzensiz yağmur yağışlı





